Книга Занимательная экономика. Теория экономических механизмов от А до Я, страница 39 – Александр Филатов, Алексей Савватеев

Авторы: А Б В Г Д Е Ж З И Й К Л М Н О П Р С Т У Ф Х Ч Ш Ы Э Ю Я
Книги: А Б В Г Д Е Ж З И Й К Л М Н О П Р С Т У Ф Х Ц Ч Ш Щ Ы Э Ю Я
Бесплатная онлайн библиотека LoveRead.in

Онлайн книга «Занимательная экономика. Теория экономических механизмов от А до Я»

📃 Cтраница 39

(ICL): VL(qL) – TLVL(qH) – TH,

(ICH): VH(qH) – THVH(qL) – TL.

Целью производителя является установление максимально высоких тарифов TL и TH, при которых выполняются все четыре ограничения. Однако выясняется, что из них активными являются только два: (PL) и (ICH). То есть важно, чтобы бедные не отказались полностью от потребления данного товара, а богатые не сделали вид, что они бедные. Таким образом, максимально возможные значения тарифов достигаются, когда именно эти ограничения (PL) и (ICH) выполняются как точные равенства. Следовательно,

TL = VL(qL),

TH = VH(qH) – VH(qL) + TL = VH(qH) – VH(qL) + VL(qL).

Проверим остальные два условия:

(PH): VH(qH) – TH = VH(qH) – VH(qH) + VH(qL) – VL(qL) = VH(qL) – VL(qL) ≥ VL(qL) – VL(qL) = 0.

(ICL): VL(qL) – TL – VL(qH) + THVL(qL) – VL(qL) – VL(qH) + VH(qH) – VH(qL) + VL(qL) == (VH(qH) – VL(qH)) – ((qL) – VL(qL)) ≥ 0.

Видим, что они оба выполнены. Следовательно, преобразованная задача производителя примет следующий вид:

π = λ(VL(qL) – cqL) + (1 – λ)(VH(qH) – VH(qL) + VL(qL) – cqH) → max

Взяв частные производные по qL и qH, получим условия первого порядка:

VH'(qH) = c,

VL'(qL) = (1 – λ)VH'(qL) + λc.

Решив систему относительно qL и qH, получим оптимальные объемы товаров, а формулы для вычисления тарифов были нами выписаны еще раньше.

Подобный ход рассуждений может применяться и для произвольного числа типов потребителей. Активными в этом случае будут условие участия для самого низкого типа и условия совместимости стимулов, свидетельствующие, что все остальные потребители не захотят переходить на контракт для предыдущего типа в отсортированном по возрастанию списке.

5.2.5. Численный пример на ценовую дискриминацию

В завершение темы ценовой дискриминации рассмотрим численный пример. Пусть мобильный оператор предлагает доступ в интернет, себестоимость которого составляет c = 10 руб./Гб, на рынке с двумя типами потребителей, индивидуальный месячный спрос которых составляет pL = 30 – q и pH = 50 – q соответственно. Пусть также известно, что потребителей с низким спросом вдвое больше, чем потребителей с высоким.

При линейном ценообразовании и совершенном выявлении типов клиентов цена трафика для каждой из групп находилась бы в точности посередине между предельными издержками (10 рублей) и максимально возможной ценой на рынке (30 и 50 рублей соответственно) и составила бы 20 руб. / Гб для потребителей с низким спросом и 30 руб. / Гб – с высоким. Оптимальный объем потребляемого трафика принял бы значение 10 и 20 Гб, а прибыль оператора – 100 и 400 рублей с одного клиента каждого из типов. Эта ситуация соответствует точке A на каждом из графиков на рис. 5.6.

Если трафик можно предлагать пакетами, а оператор по-прежнему различает потребителей, можно изъять у них всю величину потребительского излишка, сделав единую цену 10 руб. / Гб, но при этом снимая сумму, равную площади области, выделенной на графиках серым цветом, то есть 200 рублей с потребителей низкого типа и 800 рублей с потребителей высокого типа. Либо можно использовать продажу пакетами, предложив 20 Гб трафика за 400 рублей потребителям с низким спросом и 40 Гб трафика за 1200 рублей потребителям с высоким спросом. Тариф в данном случае представляет сумму потребительского излишка и издержек оператора.

Иллюстрация к книге — Занимательная экономика. Теория экономических механизмов от А до Я [i_064.jpg]

Рис. 5.6. Ценовая дискриминация при совершенном выявлении типов


При этом очевидно, что даже потребители с высоким спросом предпочли бы не переплачивать, а приобрести низкий тариф, если бы им была предоставлена такая возможность. В реальном мире отслеживать тип потребителя – не очень реалистичная ситуация. Поэтому в случае меню контрактов приходится, с одной стороны, уменьшать тариф для высокого спроса, а с другой – ухудшать характеристики низкого контракта с целью сделать его менее привлекательным. Конкретные значения найдем из формул предыдущего параграфа.

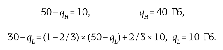
Итак, находим значения объемов, решая систему уравнений

VH'(qH) = c, VL'(qL) = (1 – λ)VH'(qL) + λc.

В качестве предельной полезности укажем обратные функции спроса:

Иллюстрация к книге — Занимательная экономика. Теория экономических механизмов от А до Я [i_065.jpg]
Вход
Поиск по сайту
Ищем:
Календарь