Книга Занимательная экономика. Теория экономических механизмов от А до Я, страница 23 – Александр Филатов, Алексей Савватеев

Авторы: А Б В Г Д Е Ж З И Й К Л М Н О П Р С Т У Ф Х Ч Ш Ы Э Ю Я
Книги: А Б В Г Д Е Ж З И Й К Л М Н О П Р С Т У Ф Х Ц Ч Ш Щ Ы Э Ю Я
Бесплатная онлайн библиотека LoveRead.in

Онлайн книга «Занимательная экономика. Теория экономических механизмов от А до Я»

📃 Cтраница 23

Аукцион единой цены был впервые предложен в 1979 году для распределения аэропортовых слотов между авиакомпаниями в перегруженных аэропортах. Суть аукциона заключается в том, что участники подают заявки в формате списка пар «цена p, объем q», указывая, по какой цене они готовы приобрести какое количество распределяемого блага – ценных бумаг, аэропортовых слотов, разрешений на доступ в заповедники. Фактически этими заявками они задают собственную функцию спроса на предлагаемый продукт.

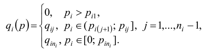
Пусть для i-го участника, i = 1,…, m заявки (pij, qij), j = 1,…, ni отсортированы в порядке убывания цены и, соответственно, возрастания объемов. Тогда его индивидуальный спрос qi (p) является кусочно-линейной функцией, состоящей из горизонтальных участков вида:

Иллюстрация к книге — Занимательная экономика. Теория экономических механизмов от А до Я [i_037.jpg]

Изобразим график индивидуального спроса на рис. 3.1.

Суммарный рыночный спрос Q (p) равен сумме индивидуальных спросов:

Иллюстрация к книге — Занимательная экономика. Теория экономических механизмов от А до Я [i_038.jpg]

Рис. 3.1. Индивидуальный спрос, построенный на основе заявок

Иллюстрация к книге — Занимательная экономика. Теория экономических механизмов от А до Я [i_039.jpg]

После наступления заранее определенной даты экспирации осуществляется распределение лотов. Их получают участники, указавшие в заявках максимальные цены, в количестве, указанном в заявках. При этом каждый покупатель платит за каждую единицу блага единую цену отсечения – наилучшую непобедившую заявку.

Проиллюстрируем это на коротком примере аукциона, на котором заповедник распределяет среди двух туроператоров 1000 разрешений на посещение определенного маршрута. Пусть заявки выглядят следующим образом. Первый туроператор готов выкупить всю тысячу разрешений по цене в 1000 рублей, а если цена повышается до 1700, спрос сокращается наполовину. Второй туроператор готов выкупить 450 мест по цене в 1500, а по цене в 2000 спрос снижается до 200.

Изобразим функции индивидуального и суммарного спроса на графиках (рис. 3.2). Спрос первого туроператора изображен сплошной линией, второго – пунктирной, суммарный спрос – жирной.

Заметим, что тысячи мест не хватает для удовлетворения имеющегося спроса. Аукцион действует подобно потребителю в супермаркете, который при ограниченном бюджете поочередно складывает в корзину товары, приносящие ему максимальную полезность.

Иллюстрация к книге — Занимательная экономика. Теория экономических механизмов от А до Я [i_040.jpg]

Рис. 3.2. Индивидуальный и суммарный спрос туроператоров. Пример 1


Второй туроператор, который готов заплатить по 2000 рублей за 200 мест, сразу получает их. Далее первый туроператор получает 500 мест, так как готов заплатить за них по 1700 рублей. Второй туроператор (готовый заплатить по 1500 рублей) получает еще 250 мест (суммарно 450). Наконец, первый туроператор забирает оставшиеся 50 мест. Итого, у первого туроператора оказывается 550 мест из 1000, на которые тот предъявляет спрос, а второй получает все требующиеся ему 450 разрешений.

При этом оба туроператора платят за доступ к каждому из полученных мест одинаковую сумму, а именно 1000 рублей, цену отсечения, в которую обходится следующее 1001-е место. В связи с этим при наличии богатого VIP-клиента, готового очень дорого заплатить за посещение заповедника, туроператор может не бояться делать заявку, скажем, на одно место за 100 тысяч рублей, понимая, что в типичной ситуации достаточного количества мест он все равно заплатит относительно немного, однако благодаря высокой заявке получит гарантию доступа к этому месту в любой возможной ситуации.

Рассмотрим чуть более сложный случай (рис. 3.3), предположив, что в рассмотренном выше примере первый туроператор готов выкупить 1000 мест не по 1000, а по 1500 рублей, что совпадает с частью функции спроса его конкурента. Заметим, что на распределение первых 700 мест (200 второму и 500 первому) это никак не повлияет. А оставшиеся 300 мест должны быть в некоторой пропорции распределены между первым и вторым туроператором. При этом спрос первого туроператора (1000 – 500 = 500 мест) оказывается вдвое больше спроса второго (450 – 200 = 250 мест). Поэтому логично, что первый туроператор получит дополнительных мест вдвое больше второго (200 против 100), а в итоге 700 мест достанется первому туроператору и 300 мест – второму. Все места будут проданы по цене отсечения в 1500 рублей.

Иллюстрация к книге — Занимательная экономика. Теория экономических механизмов от А до Я [i_041.jpg]

Рис. 3.3. Индивидуальный и суммарный спрос туроператоров. Пример 2


В чем недостаток аукциона единой цены? Вернемся к исходному примеру и представим, что первый туроператор своей второй заявкой объявляет, что готов выкупить тысячу мест не по 1000, а по 900 рублей. Изменится ли что-то в распределении мест? Нет, второй туроператор в любом случае получит свои 450 мест, а 550 – отойдут первому. Только теперь цена отсечения (цена 1001-го места) составит всего 900 рублей. Более того, если первый туроператор укажет минимальную сумму в один рубль, то все места будут распределены именно по этой цене, и аукционист почти ничего не получит, несмотря на достаточно высокую готовность участников платить.

Конечно, есть риски, что на рынке появится кто-то третий и заберет все свободные места по два рубля (ну или, скажем, по 800 – главное, что они не достанутся первому туроператору). А после объявления результатов ничего поменять не получится – в статических аукционах заявки делаются однократно. И тем не менее стимулы в определенной степени занижать ставки будут у каждого участника, поскольку именно его цена может стать той самой ключевой (n+1) – й, по которой будут распределяться все лоты.

3.3.2. Обобщенный аукцион первой цены

Следует отметить, что рост числа участников аукциона единой цены, а также более жесткая конкуренция между ними (например, из-за серьезной дефицитности распределяемого через аукцион ресурса) приводит к тому, что эффект занижения ставок будет нивелироваться. Действительно, уменьшается как вероятность того, что конкретный покупатель подаст в точности (n+1) – ю заявку, определяющую цену, так и размер ее возможного снижения до цены ближайшего конкурента.

Вход
Поиск по сайту
Ищем:
Календарь