Книга Искусство мыслить рационально. Шорткаты в математике и в жизни, страница 48 – Маркус Дю Сотой

Авторы: А Б В Г Д Е Ж З И Й К Л М Н О П Р С Т У Ф Х Ч Ш Ы Э Ю Я
Книги: А Б В Г Д Е Ж З И Й К Л М Н О П Р С Т У Ф Х Ц Ч Ш Щ Ы Э Ю Я
Бесплатная онлайн библиотека LoveRead.in

Онлайн книга «Искусство мыслить рационально. Шорткаты в математике и в жизни»

📃 Cтраница 48

Чтобы вычислять скорость с большей точностью, он мог использовать все меньшие временные интервалы. Но для определения точной скорости в любой момент нужно было взять бесконечно малый интервал. В пределе оказывалось, что расстояние нужно делить на нулевое время. Но как делить на 0? Эту операцию сделал осмысленной изобретенный Ньютоном математический анализ.

К тому времени Галилей уже открыл формулу, позволяющую установить, какое расстояние яблоко пролетает за любой временной промежуток. За t секунд падающее яблоко пролетает 5t2 метров [88]. Число 5 играет здесь роль меры гравитационного притяжения Земли. Для яблони, растущей на Луне, этот коэффициент был бы меньше, потому что лунная сила тяжести меньше земной, и яблоко падало бы медленнее. Космическому аппарату Гленна нужно было учитывать изменения этого числа по мере удаления от Земли.

Возьмем яблоко и подбросим его вертикально вверх. Предположим, я бросил его со скоростью 25 метров в секунду. У бейсболистов, подающих мячи, скорость броска может превышать 40 метров в секунду, так что моя цифра не выходит за пределы разумного. Теперь высота положения яблока после броска определяется по формуле 25t – 5t2.

При помощи этой формулы я могу рассчитать, через какое время яблоко снова долетит до моей руки, то есть его высота над моей рукой, равная 25t – 5t2, опять станет равной 0. Если подставить в формулу t = 5, получим 0. Значит, суммарная длительность полета яблока вверх и вниз равна 5 секундам.

Но Ньютон хотел найти способ узнавать, какова скорость полета яблока в каждой точке его траектории. Однако эта скорость непрерывно изменяется, так как яблоко сперва замедляется, а затем снова ускоряется.

Попробуем вычислить при помощи нашей формулы – отношения пройденного расстояния ко времени, за которое это расстояние было пройдено, – скорость через 3 секунды. Итак, расстояние, которое пролетает яблоко между 3-й и 4-й секундами, равно

(25 × 4 – 5 × 42) – (25 × 3 – 5 × 32) = 20 – 30 = –10 м.

Минус показывает, что яблоко летит в направлении, противоположном тому, в котором я его бросил. Оно уже падает вниз. Таким образом, средняя скорость за этот период равна 10 метрам в секунду. Но это лишь средняя скорость за интервал длительностью в одну секунду. Она не равна действительной скорости яблока через 3 секунды после броска. Может быть, попробовать взять меньший интервал? Если делать этот интервал все меньше, оказывается, что скорость становится все ближе и ближе к 5 метрам в секунду. Но Ньютон хотел получить скорость моментальную, соответствующую нулевому временному промежутку. Его метод дал возможность понять, почему моментальная скорость через 3 секунды должна быть равна 5 метрам в секунду.

Иллюстрация к книге — Искусство мыслить рационально. Шорткаты в математике и в жизни [i_044.jpg]

Рис. 6.2. График зависимости высоты полета яблока от времени. Средняя скорость между двумя значениями времени равна наклону прямой, проведенной через соответствующие точки графика


Скорость можно представить на графике зависимости пройденного расстояния от времени. Средняя скорость между 3-й и 4-й секундами – это наклон прямой, проведенной между двумя точками графика, соответствующими 3-й и 4-й секундам. Если уменьшать этот интервал, прямая будет приближаться к кривой, пока не попадет в положение, в котором она лишь касается ее в точке t = 3. Математический анализ Ньютона позволяет вычислить наклон (угловой коэффициент) прямой, касающейся кривой в этой точке. Такая прямая называется касательной к кривой. Математический анализ говорит нам, что в общем случае скорость (наклон касательной) в момент t вычисляется по формуле

25 – 10t

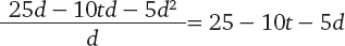
Вот почему это так: предположим, мы хотим вычислить скорость в момент t. Посмотрим, какое расстояние яблоко пролетит за малый промежуток времени после t, скажем, от момента t до момента t + d.

(25(t + d) – 5(t + d)2) – (25t – 5t2) = 25 t + 25d – 5t2 – 10td – 5d2 – 25t + 5t2 = 25 d – 10td – 5d2

Теперь разделим на величину временного интервала d:

Иллюстрация к книге — Искусство мыслить рационально. Шорткаты в математике и в жизни [i_045.jpg]

Если взять чрезвычайно малую величину d, скорость будет равна

25 – 10t

Это выражение называется производной функции 25t – 5t2. Этот хитроумный алгоритм берет формулу расстояния, пройденного за некоторое время, и выдает новую формулу, позволяющую определить скорость в любой момент времени. Достоинство этого инструментария в том, что он применим не только к яблокам и космическим кораблям. Он позволяет анализировать любые процессы с непрерывными изменениями.

Производителю важно знать стоимость создания новой продукции, чтобы установить цену, которая будет обеспечивать прибыль. Вначале себестоимость продукции будет очень высокой из-за расходов на оборудование производства, наем работников и так далее. Но по мере производства все больших ее объемов себестоимость каждого следующего изделия будет изменяться. Вначале она будет снижаться, потому что производство этой продукции будет становиться все более экономичным. Но если чрезмерно увеличить объемы производства, стоимость продукции снова может вырасти. Увеличение производства рано или поздно приводит к работе в сверхурочное время, использованию менее производительных старых предприятий, конкуренции за дефицитное сырье и тому подобному. В результате стоимость дополнительных изделий увеличивается.

Это несколько похоже на подбрасывание в воздух мяча: сначала мяч летит быстро, но с каждой следующей секундой замедляется и пролетает все меньшее расстояние. Математический анализ может помочь производителю понять, как себестоимость продукции изменяется с изменениями объема производства, и найти оптимальную точку, то есть узнать, сколько нужно производить, чтобы себестоимость была наименьшей.

Открытый Ньютоном шорткат к пониманию подвижного мира положил начало современной науке. Я считаю Ньютона, как и Гаусса, одним из величайших мастеров шортката всех времен. Я даже совершил паломничество в поместье Вулсторп, где, как рассказывают, Ньютон сидел под яблоней, вдохновившей его на создание этого гениального шортката. К моему удивлению, дерево все еще было на месте! Мой экскурсовод позволил мне взять два его яблока, и из одного из их семечек мне удалось вырастить яблоню в своем саду. Под этим деревом я сижу долгими часами, надеясь найти шорткат, который приведет меня к решению задачи, над которой я сейчас работаю.

Вход
Поиск по сайту
Ищем:
Календарь