Книга Искусство мыслить рационально. Шорткаты в математике и в жизни, страница 18 – Маркус Дю Сотой

Авторы: А Б В Г Д Е Ж З И Й К Л М Н О П Р С Т У Ф Х Ч Ш Ы Э Ю Я
Книги: А Б В Г Д Е Ж З И Й К Л М Н О П Р С Т У Ф Х Ц Ч Ш Щ Ы Э Ю Я
Бесплатная онлайн библиотека LoveRead.in

Онлайн книга «Искусство мыслить рационально. Шорткаты в математике и в жизни»

📃 Cтраница 18

Это очень простое уравнение. Но что, если я попрошу вас решить вот это:

x2 – 5x + 6 = 0?

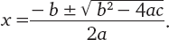
Вероятно, при виде этого уравнения у многих читателей пробежали по спине мурашки, потому что это одно из квадратных уравнений – уравнений, содержащих х в квадрате, – решать которые учат в школе. Собственно говоря, общую алгоритмическую процедуру, позволяющую получить решение, придумали еще древние вавилоняне. Хотя у них еще не было алгебраического языка для выражения математических идей, в современных обозначениях для поиска корней обобщенного квадратного уравнения

ax2 + bx + c = 0

применяется следующая формула:

Иллюстрация к книге — Искусство мыслить рационально. Шорткаты в математике и в жизни [i_011.jpg]

Значит, в случае уравнения x2 – 5x + 6 = 0 нужно подставить в формулу a = 1, b = –5 и c = 6, и мы получим решения x = 2 или x = 3.

Могущество математики по части создания шорткатов для тяжелой работы начало проявляться еще в вавилонскую эпоху. До открытия этой формулы каждое квадратное уравнение приходилось решать вручную. Каждый раз писцы заново изобретали колесо, не сознавая, что снова и снова делают одно и то же, хотя и с разными числами. Но в какой-то момент нашелся писец, который понял, что существует общая алгоритмическая процедура, работающая, к каким бы числам она ни применялась.

В этот момент и началась математика. Это искусство распознавания паттернов, лежащих в основе бесконечного количества таких уравнений. Паттерн показывает, что требуется не потенциально бесконечная работа, а, по сути дела, всего одна операция. Выучивший алгоритм или формулу решения уравнения получает в свое распоряжение шорткат к решению бесконечно многих разных уравнений. Рождение математики в вавилонскую эпоху показывает, почему математику и в самом деле можно назвать искусством шортката.

Но позволяет ли этот шорткат решить все квадратные уравнения?

Как насчет решения уравнения x2 = –4? На протяжении многих столетий считалось, что у этого уравнения нет решений. Числа, которые мы используем для подсчета предметов, обладают тем свойством, что их возведение в квадрат всегда дает число положительное. Вавилонский алгоритм – или вавилонская формула – не помогает решить это уравнение, потому что для этого требовалось бы понять, что такое квадратный корень из –4.

Но в середине XVI века произошло одно довольно странное событие. В 1551 году итальянский математик Рафаэль Бомбелли работал над проектом осушения болот в долине Кьяна, относившейся тогда к Папской области. Все шло хорошо, пока работы внезапно не пришлось приостановить. Поскольку Бомбелли было нечем заняться, он решил написать книгу по алгебре. Его увлекли новые интересные формулы для решения уравнений, о которых он прочитал в книге другого итальянского математика, Джироламо Кардано.

Вавилоняне придумали формулу для решения квадратных уравнений. Но как быть с уравнениями кубическими, например, x3 – 15x – 4 = 0? Несколькими десятилетиями раньше многие математики заявляли, что нашли формулы для их решения. В то время математики не публиковали статьи в научных журналах, а сходились друг с другом в математических поединках – публичных диспутах. Я так и вижу эту великолепную картину: как субботним утром на городской площади собираются шумные фанаты местного математика, чтобы поддержать его в очередной схватке ученых. Формула одного из математиков явно превосходила своими достоинствами все то, что предлагали остальные. Этого единоборца от математики звали Никколо Фонтана, но более известно было его прозвище – Тарталья [27]. Ему, понятно, не хотелось раскрывать секрет своего успеха, но в конце концов Кардано уговорил его поделиться формулой при условии, что Кардано не будет ее разглашать.

Кардано держался несколько лет, но в конце концов не смог удержаться от искушения. Он напечатал формулу Тартальи во всей ее славе в своей знаменитой книге Ars Magna [28], вышедшей в свет в 1545 году. Когда Бомбелли прочитал книгу Кардано и применил пресловутую формулу к уравнению x3 – 15x – 4 = 0, произошло нечто довольно странное. В некоторый момент формула требовала извлечения квадратного корня из –121. Бомбелли мог извлечь квадратный корень из 121. В этом не было ничего сложного – он равен 11. Но что такое квадратный корень из –121?

У математиков и раньше возникала эта странная потребность извлекать квадратные корни из отрицательных чисел, но обычно, дойдя до этого места, они отступали. Кардано столкнулся с той же проблемой и бросил вычисления. Считалось, что таких чисел не бывает. Но Бомбелли оказался не робкого десятка. Он продолжил работу с формулой, приведенной в книге Кардано, просто оставив в ней это странное несуществующее, мнимое число. Затем числа как бы по волшебству взаимно сократились, и он получил решение: x = 4. И действительно, когда он подставил это решение в исходное уравнение, оно оказалось верным.

Чтобы добраться до пункта назначения – решения x = 4, – Бомбелли пришлось пересечь мир мнимых чисел. Он как бы прошел сквозь некое волшебное зеркало и обнаружил за ним новую страну, путь через которую вел к другому порталу, позволявшему вернуться в мир нормальных чисел и добраться до желанной цели. Но пути к решению, не проходившего через этот воображаемый мир, не существовало. Бомбелли начал подозревать, что речь идет не просто об искусственном приеме; что, может быть, такие числа, находящиеся по ту сторону зеркала, все же действительно существуют. Просто математикам нужно достаточно смелости, чтобы допустить их в мир чисел.

Работа, которую опубликовал Бомбелли, привела к открытию мнимых чисел. Первое из таких чисел, квадратный корень из –1, в конце концов получило особое обозначение – i. Буква i обозначает слово imaginaire – воображаемый, мнимый; это пренебрежительное название ввел несколько лет спустя французский философ и математик Рене Декарт, не питавший к этим странным неуловимым числам никаких теплых чувств.

И все же Бомбелли открыл их могущество. В его книге был приведен полный анализ способов обращения с мнимыми числами. При решении таких кубических уравнений те, кто был готов пройти сквозь зеркало в мир мнимых чисел, мог воспользоваться шорткатом к ответу. В конце концов математики начали называть такие числа компле́ксными, в отличие от чисел вещественных, известных всем нам с самого детства [29].

Вход
Поиск по сайту
Ищем:
Календарь