Книга Sapiens на диете. Всемирная история похудения, или Антропологический взгляд на метаболизм, страница 54 – Герман Понцер

Авторы: А Б В Г Д Е Ж З И Й К Л М Н О П Р С Т У Ф Х Ч Ш Ы Э Ю Я
Книги: А Б В Г Д Е Ж З И Й К Л М Н О П Р С Т У Ф Х Ц Ч Ш Щ Ы Э Ю Я
Бесплатная онлайн библиотека LoveRead.in

Онлайн книга «Sapiens на диете. Всемирная история похудения, или Антропологический взгляд на метаболизм»

📃 Cтраница 54
Этнографические данные

Сегодня становится все труднее находить современные сообщества охотников и собирателей, подобные племени хадза. Глобализация и неумолимый марш экономического прогресса продолжают маргинализировать большинство этих общин, загоняя их в деревни или, как мы делали в Соединенных Штатах с коренным американским населением, в резервации. Тем не менее есть несколько гордых и счастливых народов, таких как хадза, цимане и хиваро, которые сохранили свои традиции и сумели обособиться от современного развивающегося мира. У нас также есть описания сотен традиционных обществ со всего земного шара, собранные в течение XIX и XX веков, до того как эти культуры исчезли с лица земли. Вместе эти наблюдения за современными и ранее существовавшими обществами охотников и собирателей и земледельцев дают представление о невероятном разнообразии рационов, которое отличает наш вид.

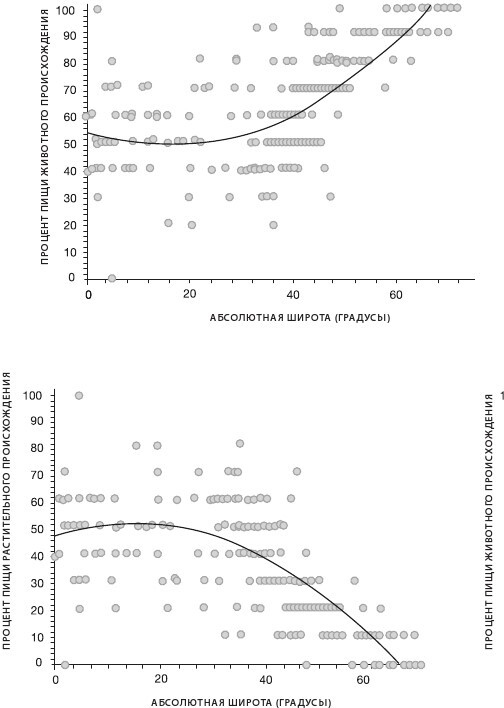
На Рис. 6.2 я набросал примерный план питания для 265 популяций охотников и собирателей по сводкам, которые в 1967 году составил антрополог Джордж Мердок в своем «Этнографическом атласе». Для каждого общества перечислена доля растений, дичи и рыбы в рационе, а также любые продукты из сельскохозяйственных культур или домашнего скота. К сожалению, редко приводятся методы, используемые для определения диетических пропорций, и данные не всегда соответствуют действительности. И все же «Атлас» Мердока используется до сих пор, несмотря на его очевидные недостатки. Как разваливающаяся сушилка для рук в туалете на заправке, он далек от идеала, но в большинстве случаев это вся информация об этих группах населения, которая у нас есть.

Когда мы сопоставляем соотношение калорий из растений и мяса с географическим положением (Рис. 6.2), сразу же становятся очевидными две вещи. Во-первых, существует много вариаций. В пределах 50° северной широты (то есть к югу от Виннипега, Канада, и к северу от Фолклендских островов) вы можете встретить как полностью мясные рационы, так и растительные и их комбинации. Диапазон «естественных» систем питания человека огромен. Люди едят все, что им доступно. И это подводит нас ко второму пункту. В действительно холодном климате, выше 50° северной широты, население ест много мяса. (Стоит отметить, однако, что арктические популяции старались добывать растительную пищу везде, где только могли, даже грабя норы грызунов, чтобы украсть их запасы диких клубней.) Почему люди в арктических зонах потребляют много мяса? Потому что растений там почти нет. Мы едим то, что есть вокруг.

Иллюстрация к книге — Sapiens на диете. Всемирная история похудения, или Антропологический взгляд на метаболизм [i_018.jpg]

Рис. 6.2. Рационы питания 265 популяций охотников и собирателей из «Этнографического атлас» Мердока. Каждое сообщество отображается на обоих графиках. В более теплых условиях, ниже 50° северной широты, существует большое разнообразие систем питания, и у большей части населения сбалансированный рацион: он содержит большое количество пищи как животного, так и растительного происхождения (справа). Популяции в холодном субарктическом климате едят много мяса (слева).


Мы обнаруживаем большое количество углеводов в рационе более изученных групп, таких как хадза (и о которых у нас достаточно информации). Сообщества хадза, цимане и хиваро получают 65 % и более калорий каждый день из углеводов (сравните это с типичной американской диетой, в которой процент углеводов составляет 50 %; Рис. 6.3). И дело тут не только в меде и клубнях. Неудивительно, что мы никогда не наблюдали кетоза среди мужчин и женщин племени — их рацион настолько далек от кетогенной диеты, насколько это вообще возможно. Большая часть углеводов поступает из крахмалистых овощей, например из их корнеплодов, которые женщины часто приносят домой. Другим источником этих макронутриентов является мед, который они неизменно считают своей любимой пищей. У блогеров-диетологов и нутрициологов есть привычка считать мед полезным просто потому, что он натуральный, однако в нем нет ничего особенного. Мед (и все то, что едят хадза) — это просто сахар и вода, с почти таким же содержанием фруктозы и глюкозы, как и высокофруктозный кукурузный сироп. Фактически, метаболизм сахаров и жиров в крови одинаково реагирует на мед, высокофруктозный кукурузный сироп и столовый сахар (сахарозу, которая образуется из фруктозы и глюкозы). Если бы углеводы — особенно сахар — были особенно вредны для вас, то у всех культур, которые потребляют много этих макронутриентов, уже бы развился диабет и сердечные заболевания. Вместо этого у них исключительно здоровые сердца и практически отсутствуют кардиоваскулярные заболевания.

В рационе таких племен, как хадза, цимане и хиваро, также мало жиров. Они составляют менее 20 % от ежедневного количества калорий (типичная американская диета состоит из жиров на 40 %). На самом деле, за пределами Крайнего Севера (о чем мы поговорим далее) не найдено никаких хорошо изученных племен охотников и собирателей (таких как хадза) или земледельцев (цимане и хиваро), в чьем рационе отмечалось бы высокое содержание жира.


Впечатляющее количество углеводов в питании хадза (и других похожих народов) является зеркальным отражением правила палеодиеты: 30 % белков, 20 % углеводов и 50 % жиров. Некоторые сторонники кето-и палеодиеты пошли еще дальше. Дэвид Перлмуттер, автор популярной книги «Еда и мозг» [53], утверждает, не приводя никаких доказательств, что рацион наших предков состоял только из 5 % углеводов и 75 % жиров! Почему так много современных приверженцев палеодиеты настаивают на том, что естественный рацион охотников и собирателей — это низкоуглеводная и высокожировая система питания?

Частично ответ кроется в «Атласе» Мердока. Современное палеодвижение было основано в конце 1990-х годов Лореном Корденом, профессором Университета штата Колорадо, который хотел выяснить, почему охотники и собиратели, казалось бы, устойчивы к сердечно-сосудистым заболеваниям и другим распространенным западным проблемам. Кордейн был специалистом по физиологии, а не антропологом, поэтому не участвовал в полевых исследованиях и не наблюдал за охотниками и собирателями. Вместо этого он и его сотрудники составили отчет-резюме по рациону всех племен охотников и собирателей в «Атласе» Мердока так же, как я на Рисунке 6.2. Они приложили немало усилий, чтобы перевести результаты ученого в точное соотношение жиров, углеводов и белков в рационе, и пришли к выводу, что около 55 % калорий в типичном рационе охотников и собирателей приходятся на животную пищу. Эти исследования породили ряд рецензируемых научных работ и легли в основу влиятельной книги Кордена The Paleo Diet («Палеодиета»), которая положила начало этому движению.

Эти исследования были хорошо спланированы, однако все равно не соответствуют действительности. Самое главное — данных Мердока просто недостаточно, чтобы получить точное представление о рационе питания. В его культурных резюме ничего не говорится о жирах, углеводах или белках. Вместо этого ученый назначил диетический балл от 0 до 9, чтобы установить приблизительный процент разной пищи в рационе. По большей части, методы, используемые для определения этих баллов, не описаны. Вполне вероятно, однако, что автор не учел большого количества пищи, содержащей углеводы. Как мы обсуждали в Главе 4, антропологи в начале и середине XX века постоянно упускали из виду вклад женщин, что, в свою очередь, приводило к тому, что ученые недооценивали процент растительной пищи в рационе племени. Кроме того, мы знаем, что в результатах Мердока полностью проигнорирован такой важный компонент диеты, как мед, а он, наоборот, является основной частью рациона хадза и многих других племен охотников и собирателей.

Вход
Поиск по сайту
Ищем:
Календарь