Книга Почему люди разные. Научный взгляд на человеческую индивидуальность, страница 63 – Дэвид Линден

Авторы: А Б В Г Д Е Ж З И Й К Л М Н О П Р С Т У Ф Х Ч Ш Ы Э Ю Я
Книги: А Б В Г Д Е Ж З И Й К Л М Н О П Р С Т У Ф Х Ц Ч Ш Щ Ы Э Ю Я
Бесплатная онлайн библиотека LoveRead.in

Онлайн книга «Почему люди разные. Научный взгляд на человеческую индивидуальность»

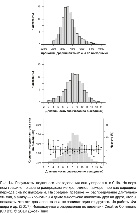
📃 Cтраница 63

■ ■ ■

Это касается не только людей. Биологические ритмы животных, бактерий и грибов соотносятся с солнечными циклами дня и ночи. Даже растения часто распускают и закрывают цветы в определенное время дня. Солнце обеспечивает растения энергией для фотосинтеза, теплом и светом, который позволяет ими любоваться, но фотоны повреждают ДНК. Поскольку во время деления клеток ДНК особенно чувствительна к повреждениям солнечным светом, этот процесс обычно происходит ночью. У людей солнечным циклом определяются не только часы бодрствования и сна, но и температура тела, питание, пищеварение, способность сосредоточиться, секреция гормонов, рост, эмоциональное состояние и многие другие функции (рис. 15). Солнечный цикл влияет даже на наши самые интимные чувства: наиболее популярное время для секса, по данным исследований, – это 10 часов вечера [347].

Используется ли для циклов дневной активности организма 24-часовая шкала, или на эти поведенческие и физиологические ритмы влияют только внешние сигналы, такие как солнечный свет и температура окружающей среды? Если вам придется жить в темной пещере при постоянной температуре и без часов (или Wi-Fi), ваши ритмы сна и бодрствования, температуры тела и т. д. не изменятся, но ритм постепенно рассинхронизируется со временем внешнего мира. Каждые сутки, проведенные в пещере, сдвинут время засыпания примерно на 20 минут вперед. Аналогично, если взять клетки кожи или печени и выращивать их в темноте, в питательной жидкости, они тоже сохранят дневные ритмы метаболизма и экспрессии определенных генов. Эти открытия показывают, что в теле действительно существуют внутренние часы, но им требуется информация из внешнего мира, чтобы поддерживать синхронизацию с солнечным циклом. Поскольку внутренний хронометр работает по 24-часовому циклу, хотя и не совсем точно, это явление называют циркадным ритмом (от латинских circa, то есть “приблизительно”, и dies – “день”).

Иллюстрация к книге — Почему люди разные. Научный взгляд на человеческую индивидуальность [i_017.jpg]
Иллюстрация к книге — Почему люди разные. Научный взгляд на человеческую индивидуальность [i_018.jpg]

Главный хронометр нашего организма – это крошечная структура в мозге, называемая супрахиазматическим ядром гипоталамуса (что означает “над местом пересечения зрительных нервов”, сокращенно СЯГ). У лабораторных животных (таких как мыши и обезьяны) с поврежденным СЯГ отсутствуют нормальные циклы бодрствования и сна (или любого другого циркадного поведенческого или физиологического ритма). Они переходят на короткие периоды сна и бодрствования, распределенные случайным образом в течение дня и ночи.

Для наших целей не нужно углубляться в мельчайшие детали молекулярных процессов, которые регулируют циркадные колебания. В упрощенном виде они работают, как показано на рис. 15С. Определенный набор генов кодирует белки PER и CRY. Эти гены активируются белками BMAL1 и CLOCK, работающими совместно. Важнейшим звеном для завершения цикла сигналов является то, что белки PER и CRY подают обратный сигнал, ингибируя активирующее действие белков BMAL1 и CLOCK. Поскольку для ингибирования требуется, чтобы в клетке накопилось достаточное количество белков PER и CRY, это занимает определенное время, из-за чего количество этих белков колеблется, и в результате оказывается, что система обратной связи настроена на запуск нового цикла каждые 24,3 часа или около того. Не буду приводить другие подробности, но основная идея циркадного ритма именно в этом: он работает как система отрицательной обратной связи, регулирующая экспрессию генов [348].

Свет координирует связь внутреннего циркадного ритма с внешним миром через светочувствительные нейроны в сетчатке. К ним относится группа так называемых светочувствительных ганглионарных клеток. Эти веретеновидные нейроны посылают аксоны в СЯГ для передачи электрической информации об общем уровне освещенности окружающей среды. Поток информации от глаз производит тонкую ежедневную регулировку в главных часах СЯГ. Затем нейроны СЯГ передают эту информацию всем тканям тела с помощью как нервных сигналов, так и циркулирующих гормонов (рис. 15) [349]. Таким образом, активность различных тканей тела приблизительно синхронизирована с солнечным циклом. Но не идеально: цикл почек составляет примерно 24,5 часа, в то время как цикл клеток роговицы – около 21,5 часа. Этой грубой синхронизации достаточно для нормальной работы организма.

■ ■ ■

Двадцать с чем-то лет назад в клинику сна в Солт-Лейк-Сити пришла пациентка с серьезной проблемой. Она была жаворонком настолько, что уже ранним вечером ее клонило в сон. Обычно она ложилась в 19:30 и просыпалась в 4 часа утра. Во время лечения она упомянула, что у нескольких других членов ее большой семьи такая же проблема. Конечно, подобное заявление не могло не привлечь внимание генетика, поэтому Луис Птачек и его коллеги вскоре разыскали ее родственников. В итоге они нашли 29 человек из трех семей, которые были такими же экстремальными жаворонками, и назвали их состояние семейным синдромом раннего сна (familial advanced sleep phase syndrome, FASPS). Этот редкий признак – доминантный, то есть достаточно унаследовать копию гена от одного из родителей, чтобы он проявился. При анализе пациентов с FASPS было обнаружено, что многие ритмы их организма смещены на три-четыре часа вперед, включая пониженную ночную температуру тела и время дня, когда начинается выделение гормона мелатонина [350].

Несколько лет спустя группа Птачека объединила усилия с лабораторией Инь-Хуэй Фу [351], и вместе они обнаружили, что пациенты с подобными расстройствами сна – носители единичной мутации в гене PER2, которая нарушила его функции в циркадном ритме [352]. С тех пор были найдены и другие семьи с FASPS, с мутациями в других генах, кодирующих циркадный ритм: CRY2, PER3 и CK1DELTA (он взаимодействует с белками PER). Чтобы проверить свои результаты, исследователи воссоздали эти мутации в генах циркадного ритма у мышей. Животные проявляли раннюю активность, а ритмы температуры тела стали походить на ритмы пациентов с FASPS. Эти результаты очень интересны, но не стоит торопиться с выводом, что все экстремальные жаворонки возникли из-за мутаций в основных генах циркадных ритмов. У некоторых таких людей, похоже, нет мутаций ни в одном из этих генов.

Вход
Поиск по сайту
Ищем:
Календарь