Книга Лаборатория химических историй. От электрона до молекулярных машин, страница 70 – Михаил Левицкий

Авторы: А Б В Г Д Е Ж З И Й К Л М Н О П Р С Т У Ф Х Ч Ш Ы Э Ю Я
Книги: А Б В Г Д Е Ж З И Й К Л М Н О П Р С Т У Ф Х Ц Ч Ш Щ Ы Э Ю Я
Бесплатная онлайн библиотека LoveRead.in

Онлайн книга «Лаборатория химических историй. От электрона до молекулярных машин»

📃 Cтраница 70

– Позвольте! Как вы сказали? Где у Гоголя пробор? Слева? Вы уверены в этом? Подумайте! Может быть, все-таки справа?

– Извините, конечно, слева. Посмотрите на портреты Гоголя кисти Ф. Моллера или А. Иванова (рис. 12.4) – пробор везде на левой стороне. Зачем вы меня путаете?

Иллюстрация к книге — Лаборатория химических историй. От электрона до молекулярных машин [i_197.jpg]

– А у Репина, например на портрете Гоголя (1878) или на картинах «Гоголь и отец Матвей» (1902), «Гоголь сжигает второй том „Мертвых душ“» (1909)?

– Тьфу, что за наваждение! Там, кажется, на правой (рис. 12.5).

Иллюстрация к книге — Лаборатория химических историй. От электрона до молекулярных машин [i_198.jpg]

– Так что же, по-вашему, Гоголь причесывался и так, и эдак, сначала на одну сторону, а потом на другую? Ведь мужчины обычно консервативны в прическах, и трудно предположить, что Гоголь следовал каким-то велениям моды. Да и мужские волосы, привыкшие к левостороннему пробору, ох как трудно перекладывать на правую сторону. Да и зачем?

– Так в чем же, наконец, тут дело?

– Секрет в том, что одни художники (Иванов, Моллер) видели Гоголя, писали его с натуры и, разумеется, писали правильно. А Репин и другие пользовались дагерротипом. Ведь Репину было восемь лет, когда умер Гоголь, и он не мог видеть его живым. Но Репину и другим повезло. Гоголь, пожалуй, единственный из русских писателей-классиков начала XIX в., который дожил до появления дагерротипии.

– Простите, но здесь уже вы путаете. Разве на фотографическом изображении может быть все наоборот?

– На обычной фотографии, если она правильно сделана, – нет, не может. Но во времена Гоголя была известны только дагерротипы, а на них изображение получается в зеркальном отражении, как на негативе. Посмотрите на известную групповую дагерротипию, где Гоголь изображен в кругу русских художников в Риме, и вы увидите Гоголя "наоборот" – с правосторонним пробором (рис. 12.6). Художники – современники Репина про это обстоятельство забыли (или не знали), поскольку уже существовали обычные снимки на фотобумаге. В результате они изображали Гоголя, как на дагерротипе, полагая, что старые художники могли что-то нафантазировать, а "фотография не лжет".

Иллюстрация к книге — Лаборатория химических историй. От электрона до молекулярных машин [i_199.jpg]

– Значит, все прижизненные портреты Гоголя – левые, а посмертные в некоторых случаях – правые?

– Вот именно. Как оптические стереоизомеры!

Глава 13
Образный язык химиков

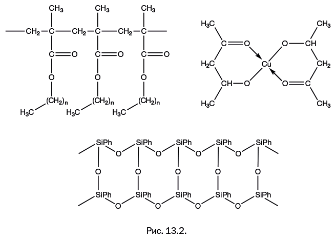
В органической и элементоорганической химии существует давняя традиция давать различным молекулам образные названия. Часто это сопровождается соответствующими рисунками, что придает всей работе некоторое эстетическое своеобразие, помогает четко запомнить структуру и облегчает общение химиков. Гораздо проще в статье или в устном докладе употребить термин «кластер», нежели «…крупный агрегат из оксидов металлов, объединенных координационными взаимодействиями». Многие из таких названий обозначают обширные классы соединений. Ниже показаны примеры, ставшие общепринятыми, и картинки, поясняющие бытовое использование таких слов (рис. 13.1, рис. 13.2).

Иллюстрация к книге — Лаборатория химических историй. От электрона до молекулярных машин [i_200.jpg]
Иллюстрация к книге — Лаборатория химических историй. От электрона до молекулярных машин [i_201.jpg]

В главе «Молекулярные механизмы и машины» было рассказано, какие своеобразные названия предложили катенановым молекулам их создатели (рис. 13.3).

Иллюстрация к книге — Лаборатория химических историй. От электрона до молекулярных машин [i_202.jpg]

Точно так же металлосилоксаны (с фрагментами Si-O-M) и металлогермоксаны (с фрагментами Ge-O-M), о которых рассказано в главе «Ближайшие „родственники“ углерода», предоставили авторам структур простор для реализации своих фантазий. Ниже некоторые из этих структур показаны в том виде, в каком они изображены на обложках химических журналов и в графических рефератах, предваряющих опубликованные научные статьи (рис. 13.4). Самые авторитетные научные журналы часто помещают на своих страницах подобные иллюстрации, отдавая дань образному мышлению создателей этих необычных молекулярных конструкций.

Иллюстрация к книге — Лаборатория химических историй. От электрона до молекулярных машин [i_203.jpg]

Показанные на рис. 13.4 металлосилоксаны, с точки зрения химиков-исследователей, специализирующихся в этой области, эстетически весьма привлекательны: калейдоскопическое разнообразие каркасных структур и их перестроений дополняется ярким разнообразием самих соединений, окрашенных в цвета соответствующих неорганических ионов металлов: Сo-содержащие имеют синий цвет, Cu – голубой, Ni – зеленый, Fe – коричневый. В отличие от неорганических металлосиликатов (минералов), которые становятся интересными только после ювелирной огранки, образуя драгоценные и полудрагоценные камни, каркасные металлосилоксаны привлекательны уже самой формой молекул. Все это делает весьма увлекательным синтез таких соединений, изучение их структуры, а также знакомство с опубликованными результатами.

Глава 14
Вернемся к прочитанному

После прочтения этой книги читатель, возможно, захочет вспомнить некоторые слова и термины, упомянутые в различных главах. В тексте, сопровождающем кроссворд, они отмечены звездочками *. Подсказками при разгадывании кроссворда могут служить заголовки некоторых глав и разделов.


По вертикали: 1* – ближайший «родственник» углерода. 3 – струя, выбивающаяся из носика кипящего чайника. 5* – возвышающаяся часть на графике. 6 – правильный шестигранник. 7* – бытовое название полимера для изготовления грампластинок. 8* – самый распространенный природный полимер. 11* – светящаяся медуза. 12* – «пластилиновая» наука. 13* – наука, заменяющая астрологию. 15* – второй «родственник» углерода. 19* – кристаллическая форма углерода. 22 – шерстяной покров овец. 23 – бытовое название карбоната кальция. 25* – молекула из двух механически соединенных циклов. 27* – углеводород с двумя двойными связями. 29 – металл, жидкий при комнатной температуре. 31 – зимний спортивный инвентарь. 32 – скошенный квадрат. 34 – крупная хищная птица. 36* – научное название бублика.

Вход
Поиск по сайту
Ищем:
Календарь