Книга Лаборатория химических историй. От электрона до молекулярных машин, страница 7 – Михаил Левицкий

Авторы: А Б В Г Д Е Ж З И Й К Л М Н О П Р С Т У Ф Х Ч Ш Ы Э Ю Я
Книги: А Б В Г Д Е Ж З И Й К Л М Н О П Р С Т У Ф Х Ц Ч Ш Щ Ы Э Ю Я
Бесплатная онлайн библиотека LoveRead.in

Онлайн книга «Лаборатория химических историй. От электрона до молекулярных машин»

📃 Cтраница 7
Иллюстрация к книге — Лаборатория химических историй. От электрона до молекулярных машин [i_014.jpg]

Рассуждая логически, мы понимаем, что надо разрушить поперечные химические связи, придать полимеру нужную форму, а затем восстановить эти связи, чтобы вернуть полимеру исходный состав – и, соответственно, свойства. Иными словами, сначала «распороть», а потом «сшить». Разрушение и восстановление химических связей – это обычная задача, с которой химики сталкиваются постоянно. Таким образом, чтобы изменить форму волос, надо разрушить дисульфидные мостики, создать новую форму и восстановить поперечные сшивки. Химики решили эту задачу, разработав метод химической завивки. Вначале волосы обрабатывают гидросульфитом натрия: дисульфидные мостики размыкаются, образуя тиогруппы – SH (рис. 1.12).

Иллюстрация к книге — Лаборатория химических историй. От электрона до молекулярных машин [i_015.jpg]

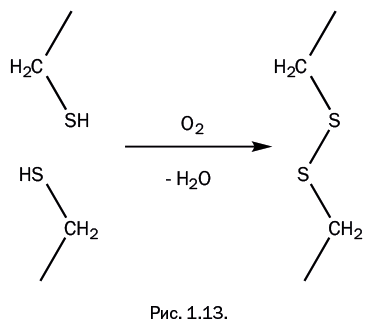
Обработанным волосам можно придать нужную форму: например, накрутить на бигуди, а затем провести обратную реакцию, то есть вновь создать дисульфидные мостики, воздействуя либо кислородом воздуха, либо раствором пероксида водорода. Мостики при этом восстанавливаются, волосы приобретает прежнюю упругость и «запоминают» новую форму (рис. 1.13).

Иллюстрация к книге — Лаборатория химических историй. От электрона до молекулярных машин [i_016.jpg]

Вода на такую завивку уже не действует, однако волосы постепенно отрастают, и всю процедуру приходится периодически повторять. Следует иметь в виду, что в основном химические реакции – особенно те, которые происходят не в растворе, а на границе твердого тела (поверхность волоса) и раствора – протекают не полностью. В итоге дисульфидные мостики восстанавливаются не до конца, и после неоднократной обработки качество волос ухудшается. Тем не менее с точки зрения химика поставленную задачу можно считать решенной.

Многократное уплотнение

Два слова в заголовке – это дословный перевод термина «поликонденсация». Это своеобразное сочетание греческого и латинского корней: поли– (греч. πολύ – «многочисленный») и конденсация (лат. сondēnsāre – «уплотнять»). Поликонденсация – следующий (после полимеризации) распространенный способ получения полимеров. Если полимеризация – результат творчества химиков, то поликонденсация по существу – копирование природных процессов. При полимеризации рост цепи происходит благодаря раскрытию двойных связей или циклов. Рост цепи при поликонденсации происходит в результате взаимодействия двух реакционных групп в соседних молекулах, что сопровождается выделением низкомолекулярного продукта, обычно это вода, спирты, NaCl. Все природные полимеры образуются в результате поликонденсации.

Иллюстрация к книге — Лаборатория химических историй. От электрона до молекулярных машин [i_017.jpg]
Иллюстрация к книге — Лаборатория химических историй. От электрона до молекулярных машин [i_018.jpg]

Таким образом, в реакции участвуют два соединения, у каждого имеются две реакционноспособные (функциональные) группы А и B, при их взаимодействии образуется мостиковая группа, обозначенная Х (рис. 1.14).

Важно, чтобы группы А и B могли вступать в реакцию друг с другом. Фрагменты двух молекул соединяются, и выделяется побочный низкомолекулярный продукт реакции, который можно легко отделить. Логически рассуждая, мы приходим к выводу, что если в реакционной смеси одно из соединений присутствует в большем количестве, чем второе, то рост полимерной цепочки быстро остановится, и на концах получившейся молекулы окажутся фрагменты того соединения, которое имеется в избытке (рис. 1.15).

Поэтому для получения длинных полимерных цепочек берут исходные соединения в эквимолекулярном соотношении, то есть 1:1. Реагентов, удовлетворяющих требованиям поликонденсации, очень много, но далеко не все стали основой производимых полимеров. Практика отобрала те варианты, которые образуют полимеры с интересными и полезными свойствами, не требуют сложного производства и экономически оправданны.

Полимер, вызвавший покупательскую истерию

В 1935 г. американский ученый У. Карозерс, ведущий химик компании DuPont, создал новый полимер. Он провел поликонденсацию адипиновой кислоты и гексаметилендиамина (рис. 1.16). При взаимодействии карбоксильных групп – С(О)ОН и аминогрупп – NH2 выделяется вода и образуется группировка – C(O)NH-, называемая амидной.

Иллюстрация к книге — Лаборатория химических историй. От электрона до молекулярных машин [i_019.jpg]

Естественно, полимеры с такими группами в цепи стали называть полиамидами. Для полимера, полученного Карозерсом, общепринятым стало название «нейлон». Существует предположение, что это объединение сокращенных названий двух городов – Нью-Йорка и Лондона: NYLON = New York + London.

Полимер размягчается при 260 оС, после чего его можно продавливать сквозь фильеру, чтобы на выходе получить тонкие нити. В 1938 г. началось промышленное производство нейлона, причем оно было сразу ориентировано на производство дамских чулок. Ранее чулки вязали из более привычных материалов – хлопка, шелка, вискозы, поэтому тонкие прозрачные чулки стали настоящей революцией. Товар оказался столь востребованным, что вызвал массовую истерию: вокруг универмагов, в которых продавались чудо-чулки, выставлялись полицейские посты, чтобы сдерживать толпы покупательниц, пытающихся прорваться к прилавкам. Сразу же после покупки женщины разрывали упаковку и надевали обновку прямо на улице. В первый же день появления в магазинах было продано семьдесят две тысячи пар новых чулок, а за первый год – 70 млн пар. Никогда в истории торговли ни один товар не имел такого успеха. Повышенный спрос не утихал вплоть до начала Второй мировой войны, когда нейлон был объявлен стратегическим материалом. Из него начали шить парашюты, палатки, тенты для военных машин, походные рюкзаки, военное обмундирование. Нейлоновые чулки можно было купить только по специальным карточкам, но после окончания Второй мировой свободная продажа возобновилась, и в первый же день в нью-йоркском универмаге Macy's за шесть часов было раскуплено 50 тысяч пар чулок.

К концу 1960-х гг. в моду вошли мини-юбки, чулки с поясом и резинками стали выглядеть неэстетично, и в результате производители придумали колготки, которые быстро обогнали чулки по количеству продаж. В настоящее время из нейлона делают не только чулки и колготки: его используют при изготовлении втулок, корпусов подшипников, так как он имеет низкий коэффициент трения и к тому же незаменим в производстве парашютов.

Вход
Поиск по сайту
Ищем:
Календарь