Книга Лаборатория химических историй. От электрона до молекулярных машин, страница 24 – Михаил Левицкий

Авторы: А Б В Г Д Е Ж З И Й К Л М Н О П Р С Т У Ф Х Ч Ш Ы Э Ю Я
Книги: А Б В Г Д Е Ж З И Й К Л М Н О П Р С Т У Ф Х Ц Ч Ш Щ Ы Э Ю Я
Бесплатная онлайн библиотека LoveRead.in

Онлайн книга «Лаборатория химических историй. От электрона до молекулярных машин»

📃 Cтраница 24

Громадное количество светящихся существ (более тысячи видов) – среди обитателей морских глубин. Свечение моря волновало людей с незапамятных времен, вызывая не только изумление и восхищение, но и суеверный страх. Отсутствие научных знаний подводило человека к фантастическим объяснениям, отразившимся в мифах, легендах и сказках. Во многих случаях свечение морских обитателей – импульсное: они испускают короткие световые вспышки длительностью 0,1–1 с. Эти вспышки необходимы для отпугивания хищников или быстро движущихся животных, которые при случайном столкновении могут механически повредить нежный светящийся организм – такой как у медузы. У некоторых глубоководных рыб надо ртом имеется подвижный отросток – "удилище", а на нем – световая приманка для жертвы. Другие рыбы используют вспышки для освещения окружающего пространства.

Удачный объект – половина успеха

Вначале отметим, что живым организмам позволяют светиться принципиально различные процессы. Во-первых, это набор биохимических реакций с участием специальных ферментов (биокатализаторов). Такое свечение использует энергию химической реакции и может продолжаться до тех пор, пока не будут исчерпаны необходимые реагенты.

Существует и иной механизм свечения: вещество поглощает из внешнего источника (например, дневное освещение) ультрафиолетовую часть спектра, которая обладает высокой энергией. В результате молекула переходит в возбужденное состояние, но может пребывать в нем очень недолго. Чтобы вернуться к "нормальному" состоянию, ей необходимо избавиться от излишка энергии, которую она получила с ультрафиолетовым облучением, что достигается излучением света, – это и есть флуоресцентный свет. Поскольку часть энергии была потрачена на переход молекулы в возбужденное состояние, испускаемый свет имеет бóльшую длину волны – сдвигается в сторону красной части спектра, что соответствует более низкой энергии. Общее правило флуоресценции – испускающийся свет всегда имеет бóльшую длину волны, нежели поглощенный.

Итак, при флуоресценции не требуются какие-либо реакции с участием ферментов – нужна лишь ультрафиолетовая подсветка. Именно таким свойством, как оказалось, обладает зеленый флуоресцентный белок GFP, имеющийся у медузы эквореи – той самой, которую впервые описал П. Форскол. Этот белок при облучении ультрафиолетовым или синим светом дает голубовато-зеленое свечение.

Осаму Симомура – первый из упомянутых нами лауреатов – сумел в 1962 г. выделить из организма медуз этот флуоресцентный белок GFP.

Иллюстрация к книге — Лаборатория химических историй. От электрона до молекулярных машин [i_071.jpg]

Структура GFP была расшифрована гораздо позже (в 1996 г.) в лаборатории Ремингтона. Молекула имеет форму, близкую к цилиндрической, образованную лентами белковых цепей. Внутри цилиндра расположена хромофорная (греч. χρωμοφόρου – «несущий свет») группа – она показана в виде конструкции из шариков. Эта группа химически связана с основной белковой молекулой (рис. 2.8, а – структура GFP; б – строение хромофорной группы).

На первый взгляд кажется, что строение хромофорной группы достаточно сложное, и непонятно, как она возникает. На самом деле ее образование – результат трех весьма простых последовательных стадий: в результате каждой стадии в качестве побочного продукта выделяется вода. Все происходит внутри белкового цилиндра, показанного на рис. 2.8а. Биохимики давно знают, что внутри живого организма все белковые молекулы собираются из известных аминокислот.

Иллюстрация к книге — Лаборатория химических историй. От электрона до молекулярных машин [i_072.jpg]

Кратко напомним, что такое аминокислоты. Это органические молекулы, содержащие аминогруппу H2N– и кислотную карбоксильную группу – СООН. Те аминокислоты, из которых собираются белки, имеют отличительный признак: между аминогруппой и карбоксильной группой находится всего один атом углерода. Общий вид всех природных аминокислот NH2-CR2-COOH. Органические заместители R у центрального атома углерода могут быть различными, в том числе и атомы водорода. При образовании белковых молекул концевая аминогруппа взаимодействует с концевой карбоксильной группой соседней молекулы с выделением воды:

NH2-CR2-COOH + NH2-CR'2-COOH → NH2-CR2-CO-NH-CR'2-COOH

Именно таким образом наращивается цепочка белковой молекулы. Кстати, при получении широко известных в быту полиамидов (например, нейлона) используют подобную простую реакцию: молекула с двумя аминогруппами на концах H2N-(CН2)n-NH2 взаимодействует с молекулой, имеющей две карбоксильные группы HCOO-(CН2)n-COOH (подробнее о полиамидах рассказано в главе «Империя длинных молекул»).

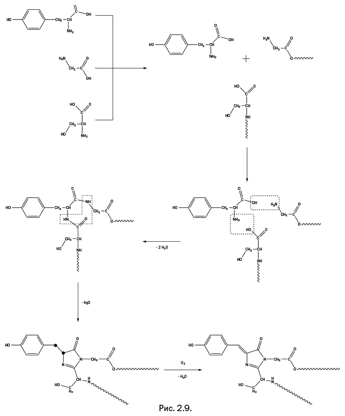
Перейдем к образованию хромофорной группы в GFP. Она собирается из трех аминокислот: тирозина, глицина и серина (рис. 2.9), которые присутствуют в каждом живом организме. Три молекулы объединяются в единый реагирующий центр. Две аминокислоты из трех (глицин и серин) присутствуют не в виде свободных молекул, а в качестве "привесков" к внутренней полости основного цилиндра (на рис. 2.9 это показано с помощью волнистых линий). Далее все происходит точно таким же образом, как описано выше: карбоксильная группа тирозина реагирует с аминогруппой глицина, а аминогруппа тирозина взаимодействует с гидроксильной группой серина (реагирующие группы обведены штриховыми прямоугольниками), при этом выделяются две молекулы воды. Далее реагируют две аминогруппы и карбонильный кислород (обведены г-образным штриховым контуром), образуется пятичленный цикл, называемый имидазольным, с двумя атомами азота и двойной связью, и вновь выделяется молекула воды. На последней стадии молекула кислорода отрывает два атома водорода от двух атомов углерода, показанных на предпоследней стадии в виде утолщенных точек (рис. 2.9). Выделяется молекула воды, и в итоге образуется хромофорная группа. Несмотря на то что строение всей образовавшейся группы можно назвать достаточно сложным, реакции, ведущие к ее образованию, весьма просты, а исходные реагенты – хорошо известные природные аминокислоты.

Показанный на рис. 2.8а белковый цилиндр не только служит "реакционной колбой" для получения хромофорной группы, но и защищает ее от случайных химических воздействий.

Продолжение научной эстафеты

В нашем рассказе появляется драматический поворот: настало время упомянуть имя ученого, без которого исследования могло и не быть. Тем не менее он не стал нобелевским лауреатом. Впрочем, все три лауреата в своих нобелевских докладах с глубоким уважением упомянули его имя. Первым, кто осознал возможности GFP, был американский биохимик Дуглас Прашер – ему пришла в голову интересная идея выделить ген ДНК, который обеспечивает в медузах синтез GFP, а затем ввести его в другие организмы. В результате такой организм начнет синтезировать белки с флуоресцирующим хвостом (своеобразным фонариком). Облучая объект ультрафиолетовым светом, можно будет заметить, где синтезируется и в какие участки клетки направляется белок с «зеленым фонариком» на конце.

Вход
Поиск по сайту
Ищем:
Календарь