Онлайн книга «Лаборатория химических историй. От электрона до молекулярных машин»
|
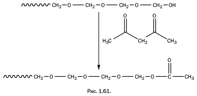
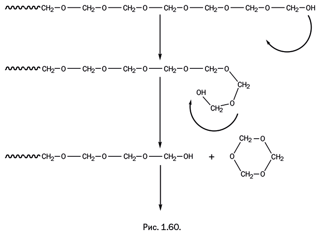
В своей автобиографии Штаудингер писал: "Мои коллеги были очень скептически настроены по отношению к моей теории, и все, кто встречал мои прежние публикации в области низкомолекулярной химии (например, химия кетенов), спрашивали меня, почему я пренебрегаю этой интересной областью и продолжаю работать с плохо изученными и неинтересными соединениями вроде резины и синтетических полимеров". В то время химию этих соединений, благодаря их свойствам, часто называли химией смазок. С середины 1930-х гг. макромолекулярная теория Штаудингера стала постепенно признаваться научным сообществом. В 1932 г. вышла классическая монография Г. Штаудингера "Высокомолекулярные органические соединения, каучук и целлюлоза", в которой была подробно описана его новая теория и результаты экспериментов. В 1940-е гг. при Фрайбургском университете был создан научно-исследовательский институт макромолекулярной химии, руководимый Штаудингером. За свои заслуги он получил многочисленные награды: медаль Эмиля Фишера Германского химического общества (1930), медаль Леблана Французского химического общества (1931), премию Станислава Канниццаро Итальянской национальной академии наук (1933) и другие. Тем не менее сложности с продвижением новой науки не закончились, причем это было результатом упорства самого Штаудингера, который уже, вероятно, не представлял себя вне привычной обстановки "сражений". Он утверждал, что полимеры – прямые гигантские молекулы, которые не гнутся и не сворачиваются (по современной терминологии – жесткоцепные), однако эксперименты показывали, что существуют и гибкоцепные – сворачивающиеся в клубки. Видимо, они напоминали Штаудингеру "ненавистные" мицеллы, и он категорически отвергал такие взгляды. В результате в лагере "полимерщиков" разгорелись споры, что, естественно, затормозило принятие новой науки широкой ученой общественностью. Косвенным результатом этих событий было следующее: Штаудингер многократно был номинирован на Нобелевскую премию, но получил ее только в 1953 г., то есть спустя более чем тридцать лет после появления этой новой области химии. Среди заслуг Штаудингера, основавшего новую науку, почти незаметным осталось одно его достижение: в 1920-х гг. он создал полимер, который в то время не получил промышленного развития. Но в наши дни это один из широко применяемых пластиков – речь идет о полимеризации формальдегида H2C=O (рис. 1.59). ![]() Полиформальдегид (его второе название полиоксиметилен), полученный Штаудингером, имел молекулярную массу в пределах 100 000 и представлял собой полимер с высокой механической прочностью. Однако при температуре свыше 120 оС он начинал разлагаться. Причиной этого были концевые гидроксильные группы, которые при нагревании начинали «откусывать» фрагменты полимерной цепи в виде низкомолекулярных продуктов (рис. 1.60). ![]() ![]() Во времена Штаудингера подобные процессы не изучались, но позже был найден простой способ предотвратить подобный распад полимерной цепи. Концевые гидроксильные группы заблокировали, переведя их в ацетатные действием уксусного ангидрида (рис. 1.61). В настоящее время полиформальдегид используется как заменитель цветных металлов при изготовлении редукторов с зубчатыми передачами, в качестве вкладышей в подшипниках скольжения, а также деталей автомобилей, корпусов бытовой техники и электротехнических изделий. Кроме того, полиформальдегид физиологически безвреден, устойчив к дезинфекции, стерилизации и потому применим в пищевом и медицинском оборудовании. Завершая главу о полимерах, подведем итоги. Существует основной признак, который всегда указывают при определении того, что такое полимер. Это вещество, молекулы которого собраны в цепь из повторяющихся звеньев и имеют большую молекулярную массу. Именно эту особенность строения Штаудингер положил в основу новой науки о полимерах. Кроме того, он установил, что полимерные цепи могут быть линейными, разветвленными или сшитыми. Итак, для решения вопроса необходимо экспериментально определить молекулярную массу, но с какой величины начинаются полимеры? Обычно от десятков тысяч до нескольких миллионов. Однако граница очень размыта – ведь у каждого типа полимеров может быть своя величина. Если молекулярная масса невелика, то вещество называют олигомером (греч. ὀλίγος – "незначительный"). Например, вазелиновое масло содержит до двадцати звеньев -СН2-, оно имеет тот же состав, что и полиэтилен, но из вазелинового масла не удастся получить пленку или волокно. Самое интересное, что для того, чтобы определить, относится ли конкретное вещество к полимерам, совсем не обязательно определять молекулярную массу. Полимеры имеют набор свойств, заметно их отличающих от остальных материальных объектов. В отличие от низкомолекулярных веществ, имеющих четко выраженную температуру плавления, полимеры при нагревании постепенно размягчаются. Полимеры способны образовывать волокна, нити и пленки. "А металлические нити?" – возразит читатель. Действительно, многие металлы пластичны: например, из 1 г серебра можно вытянуть проволоку длиной более 100 м, но ткань из металлических волокон очень заметно отличается от обычных тканей, так что сходство это просто формальное. Высокоэластичность – способность некоторых полимеров растягиваться на 500–600 % от первоначальной длины и после снятия нагрузки возвращаться в исходное состояние. Но ведь то же самое делают стальные пружины? Но если сравнить полоску резины и металлическую полоску, то различие будет очевидно. У растворов полимеров весьма низкой концентрации (0,1–0,2 %) вязкость в несколько раз превосходит вязкость чистого растворителя. При набухании сшитого полимера (например, вулканизованного каучука) в органическом растворителе объем "впитавшегося" растворителя может в десять раз превышать объем самого полимера. Не все из перечисленных свойств присущи каждому полимеру: обычно у конкретного образца два-три определяющих свойства. И если таковые обнаружены, есть основания рассматривать вещество как полимерное. Фактически мы упомянули некоторые экспериментальные приемы, используемые при изучении полимеров. Термин "полимер" иногда употребляется слишком вольно: например, кристаллы кварца SiO2 при желании можно назвать трехмерным сшитым полимером. Однако химики-полимерщики прекрасно знают об отличительных особенностях полимеров, ориентируясь на перечисленные выше основные свойства. |
![Иллюстрация к книге — Лаборатория химических историй. От электрона до молекулярных машин [i_061.jpg] Иллюстрация к книге — Лаборатория химических историй. От электрона до молекулярных машин [i_061.jpg]](img/book_covers/103/103526/i_061.jpg)
![Иллюстрация к книге — Лаборатория химических историй. От электрона до молекулярных машин [i_062.jpg] Иллюстрация к книге — Лаборатория химических историй. От электрона до молекулярных машин [i_062.jpg]](img/book_covers/103/103526/i_062.jpg)
![Иллюстрация к книге — Лаборатория химических историй. От электрона до молекулярных машин [i_063.jpg] Иллюстрация к книге — Лаборатория химических историй. От электрона до молекулярных машин [i_063.jpg]](img/book_covers/103/103526/i_063.jpg)