Онлайн книга «Повседневная жизнь Вавилона и Ассирии. Быт, религия, культура»
|
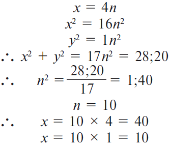
Обозначим «у» как ln. Тогда ![]() Что же касается знания геометрии, то можно сказать, что вавилонские математики знали величину «пи» с большой точностью, принимая ее за 31/8. Были найдены клинописные таблички, на которых исчислялись площади геометрических фигур. Еще одной областью деятельности писца, имевшей отношение к математике, была астрономия. У вавилонян было две причины для того, чтобы обращать особое внимание на движение небесных тел. Одной причиной была необходимость регулировать календарь, чтобы эффективно планировать сельскохозяйственные работы. Другая же представляла собой теорию, согласно которой все события на земле являются либо отражением событий на небе, либо, по крайней мере, имеют прямое к ним отношение. Вавилоняне на самом деле думали, что могут реально видеть, что делают боги на небе. Еще в древневавилонском периоде мы находим сводки наблюдений за Венерой, охватывающие несколько лет. Затмения Солнца и Луны не могли пройти незамеченными и записывались, по крайней мере с перерывами, с очень давних времен. С середины VIII в. до н. э. (а именно, в 747 г. до н. э., по утверждению греческого астронома девять веков спустя) велись систематические записи затмений, и эти записи, ведшиеся веками, в конце концов дали возможность вычислить перемещение (или видимое перемещение) Солнца, Луны и планет относительно друг друга и в небе вообще. Однако подробности этого слишком сложны и трудны, чтобы обсуждать их здесь. Из всего наследия писцов, вероятнее всего, найдет отклик в современном человеке литература Древней Месопотамии (слово «литература» употребляется здесь в узком смысле, для обозначения чего-то, что стоит прочитать, а вовсе не того, что оказалось записанным). Многое из нее сохранилось для нас в огромной библиотеке, собранной в Ниневии Ашшурбанапалом и его предшественниками, но и в ряде других мест были найдены значительные произведения как на шумерском, так и на аккадском языках; причем некоторые из этих мест находятся далеко за пределами Древней Вавилонии и Ассирии. Наиболее известным из этих древних литературных произведений является «Эпос о Гильгамеше», который неоднократно переводился на современные языки. Качество этих переводов неравноценно. О том, кто сочинил это произведение, мы знаем не больше (возможно, за одним исключением), чем мы знаем об авторе любого другого произведения месопотамской литературы. На самом деле существовали по крайней мере четыре или пять более древних шумерских историй о Гильгамеше. В основе шумерских историй лежат отдельные сказания, связанные с различными аспектами преданий о Гильгамеше. Вавилонский поэт слил воедино эти шумерские сочинения и создал трагедию, единую историю, которая неуклонно движется вперед к финальному выводу о том, что людской жребий предопределен богами и человек бессилен сопротивляться порядку, предписанному свыше. ![]() Рис. 30. Борющиеся шумеры Гильгамеш был царем-жрецом города Урука (библейский Эрех) в раннединастический период (приблизительно 2600 г. до н. э.). Этот период скрыт в волшебном мире легенд, а до него был период богов, так что сам Гильгамеш считался на две трети богом. Согласно отрывку этой поэмы на хеттском языке, Гильгамеш был великаном: его рост был около шестнадцати футов, и ширина его грудной клетки была пропорциональна росту (рис. 31). В самом начале поэмы Гильгамеша, который деспотически обращается со своими согражданами, сравнивают с диким быком и называют пастухом Урука. Боги обдумали ситуацию и приказали богине Аруру сделать ему соперника. Она выполнила приказ и создала дикого человека Энкиду, которого поселила в степях, где он жил вместе с дикими зверями. Там его увидел охотник и рассказал своему отцу, что из-за этого страшного существа он не может поймать дичь. Эта история, в конце концов, дошла до Гильгамеша, который решил послать к Энкиду блудницу, чтобы та заманила его в ловушку. Охотник отвел женщину к водопою в степи, где она стала ожидать прихода Энкиду вместе с животными. Когда этот дикий человек пришел, она появилась перед ним. Энкиду влюбился в нее, и они занимались любовью шесть дней и семь ночей. Но когда Энкиду, утолив, наконец, свое желание, захотел опять вернуться к диким животным, они убежали от него. Волей-неволей Энкиду пришлось возвратиться к женщине, которая уговорила его вернуться с ней в Урук. Она описала великолепие городской жизни и вселила в него желание встретиться с Гильгамешем. Тем временем в Уруке бог Солнца наслал на Гильгамеша сон, предсказывающий приход из степей существа, похожего на него, которое должно стать его товарищем. Энкиду пришел в город, бросил Гильгамешу вызов и начал с ним бороться: Встретились они на широкой дороге — Энкиду двери преградил ногою, Гильгамешу войти он не дал. Схватились они, как быки, сцепились. Косяк сокрушили, стена содрогнулась. ………………………………………… Преклонил Гильгамеш на землю колена, Успокоил он гнев, унялося сердце. Когда унялось его сердце, Энкиду вещает Гильгамешу: ………………………………………… «Над Мутами главою ты высоко вознесся; Энлиль над людьми судил тебе царство»
[1]. И они стали лучшими друзьями. И вот Гильгамешу пришла в голову мысль пойти в кедровый лес, чтобы убить чудовище Хувава (или Хумбаба), которому бог Энлиль поручил защищать лес от людей. (Говоря экономическими терминами, это можно истолковать как начало широкомасштабной эксплуатации лесов на горах Загрос.) Энкиду попытался отговорить своего друга, но безуспешно, и они оба, вооруженные огромными топорами и мечами, которые ни один обычный человек не мог даже поднять, отправились в путь, испросив должным образом знамений. ![]() Рис. 31. Гильгамеш (?), укрощающий льва Наконец герои достигли леса, который внушил им благоговейный страх: Остановились, дивятся лесу;
Кедров высоту они видят,
Леса они видят проходы,
Где Хумбаба, бродя,
Протоптал тропинки.
Дороги прямы, пути удобны.
Гору кедра зрят,
Жилище богов,
Престол Ирнини.
Ночью герои отдохнули, а утром вошли в лес и начали рубить кедры. Это разбудило и рассердило стража Хумбабу, но с помощью своего покровителя бога Солнца Гильгамешу удалось одолеть его. |
![Иллюстрация к книге — Повседневная жизнь Вавилона и Ассирии. Быт, религия, культура [i_043.jpg] Иллюстрация к книге — Повседневная жизнь Вавилона и Ассирии. Быт, религия, культура [i_043.jpg]](img/book_covers/102/102514/i_043.jpg)
![Иллюстрация к книге — Повседневная жизнь Вавилона и Ассирии. Быт, религия, культура [i_044.jpg] Иллюстрация к книге — Повседневная жизнь Вавилона и Ассирии. Быт, религия, культура [i_044.jpg]](img/book_covers/102/102514/i_044.jpg)
![Иллюстрация к книге — Повседневная жизнь Вавилона и Ассирии. Быт, религия, культура [i_045.jpg] Иллюстрация к книге — Повседневная жизнь Вавилона и Ассирии. Быт, религия, культура [i_045.jpg]](img/book_covers/102/102514/i_045.jpg)