Онлайн книга «Кодекс долголетия. Что заставляет нас стареть, зачем это нужно и как «обмануть» эволюцию: пошаговое руководство»
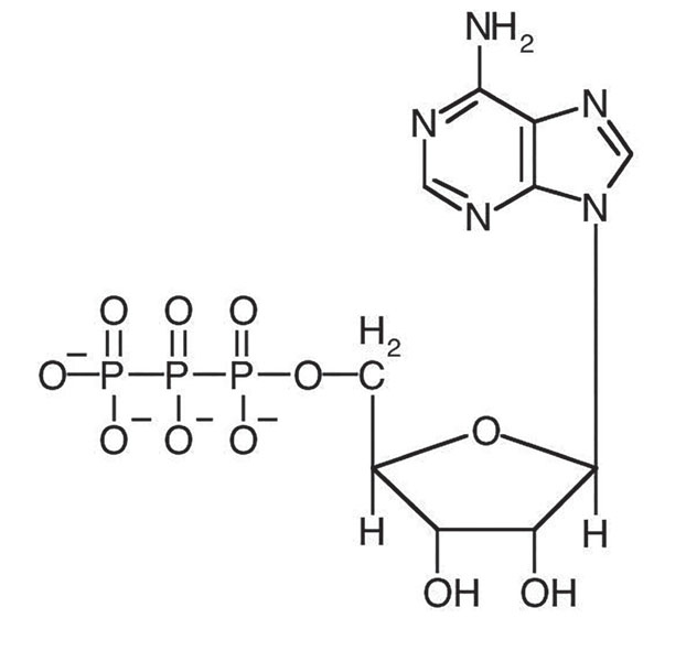
![]() Митохондрии – маленькие структуры в клетке, которые вырабатывают энергию. Они похожи на бактерии, потому что являются их потомками. Каждая клетка организма содержит в среднем от нескольких сотен до многих тысяч митохондрий. В частности, особенно много митохондрий содержат клетки, которым постоянно надо прилежно работать и, соответственно, тратить много энергии, в частности, клетки мозга, глаз и печени (эритроциты – единственные клетки, у которых вообще нет митохондрий, но, с другой стороны, им и работать особо не надо). Учитывая, что в организме 40 триллионов клеток, а в одной клетке – от нескольких сотен до многих тысяч митохондрий, становится понятно, что в вашем организме митохондрий просто невероятное количество. По примерным прикидкам, в организме около десяти квадриллионов (миллионов миллиардов) митохондрий. Почему их так много? Потому что они очень важны. Что такое митохондрии? На самом деле это практически самостоятельные маленькие клетки. Стенки митохондрий состоят из жиров, как и стенки клеток. Более того, митохондрии тоже содержат ДНК, как и клетки. (Обычная ДНК наших клеток содержится в ядре. Эта ДНК содержит инструкции по выработке белков в клетке. Митохондриальная ДНК находится внутри митохондрий и содержит инструкции по сборке митохондрий – или, если точнее, митохондриальных белков). ![]() У митохондрий есть собственная ДНК, имеющая круглую форму. Эта митохондриальная ДНК содержит инструкции по выработке митохондриальных белков. «Обычная» ДНК находится в ядре клетки. Эта ядерная ДНК содержит инструкции по выработке белков в клетке. (Источник изображения: National Institutes of Health – National Human Genome Research Institute.) Есть важная причина, по которой митохондрии являются клетками внутри клеток и имеют собственную ДНК. Миллиарды лет назад митохондрии были свободно живущими бактериями. Жизнь на Земле появилась около 3,8 миллиарда лет назад, поначалу это были только бактерии – простые, примитивные клетки, по сути – маленькие мешочки, наполненные водой, ДНК и белками, но без митохондрий. Примерно два миллиарда лет назад случилось одно из важнейших событий в истории эволюции жизни на Земле: большая бактерия поглотила более мелкую. Но вместо того, чтобы перевариться, маленькая бактерия продолжила жить внутри большой. Более того, она стала вырабатывать энергию для большой бактерии. Таким образом, маленькая бактерия стала первой митохондрией, а большая бактерия – настоящей клеткой. ![]() Рост сложных клеток: маленькая бактерия соединяется с большой бактерией. Маленькая бактерия производит энергию для большой, превращаясь в митохондрию. Большая бактерия становится клеткой. Поскольку теперь у большой бактерии есть источник энергии, она может развить в себе ядро, чтобы хранить ДНК (у митохондрий тоже есть собственная ДНК). Клетки с митохондриями и ядром – это сложные клетки, из которых появились все сложные организмы на Земле, от медуз до людей. Выходит, что митохондрии – это маленькие древние бактерии, которые вырабатывают энергию для более крупных бактерий, или клеток. Все клетки нашего организма – потомки этой большой бактериальной клетки, содержащей маленькие бактерии, производящие энергию, – митохондрии. Эти древние маленькие бактерии производят и нашу энергию, так что благодаря им мы можем ходить, дышать и говорить. Поскольку наши клетки содержат сотни или тысячи митохондрий, каждый человек в буквальном смысле является ходящей и говорящей колонией бактерий. Автомобиль приводится в движение мотором, а наше тело – бактериями в форме митохондрий. То, что у митохондрий сохранились свойства бактерий, очевидно по их поведению. Например, митохондрии могут делиться внутри клеток – точно так же, как бактерии. Когда клеткам нужно больше митохондрий (например, после физических упражнений, когда нам нужно вырабатывать больше энергии), митохондрии делятся напополам – точно так же, как бактерии. Кроме того, как и бактерии, митохондрии чувствительны к антибиотикам. Соответственно, некоторые антибиотики вредны для митохондрий, потому что на самом деле это древние бактерии. Это объясняет, почему некоторые антибиотики очень ядовиты для организма и не применяются. Как мы уже увидели, самая важная задача митохондрий – производство энергии для наших клеток. Но что это за энергия, которую производят митохондрии? Под энергией часто понимают что-то абстрактное, вроде вспышки молнии или электрической искры. Но в нашем организме энергия – это реальная молекула, которая называется аденозинтрифосфат (АТФ). АТФ иногда считается самой важной молекулой всего организма, не считая ДНК. ![]() АТФ, двигатель всей жизни, – небольшая молекула, состоящая из атомов кислорода (O), фосфора (P), водорода (H) и углерода (C); последние изображают не всегда – они располагаются по углам. АТФ прикрепляется к белкам, меняя тем самым их структуру и позволяя им функционировать. АТФ – маленькая молекула, которую постоянно в гигантских количествах производят митохондрии, перерабатывая кислород, которым мы дышим, а также сахара и жиры, которые мы едим. Почему АТФ – это энергия? Потому что это очень химически активное вещество: оно связывается с самыми разными белками в наших клетках. Эта связь меняет структуру белков. Соответственно, АТФ вызывает в наших клетках своеобразный эффект «белкового домино». Когда АТФ прикрепляется к белку, тот слегка меняет свою структуру, и это позволяет ему функционировать. Прикрепляясь, например, к белку ионного канала, расположенному перпендикулярно стенке клетки, АТФ заставляет его открыться, после чего в клетку попадают определенные вещества. Когда молекула АТФ прикрепляется к мышечному белку, тот слегка меняет форму – становится короче. Если это происходит одновременно с сотнями тысяч белков в мышечной клетке и в миллионах мышечных клеток руки или ноги, мышцы сокращаются и позволяют нам подняться с кресла и пойти погулять – или, допустим, перевернуть эту страницу. |
![Иллюстрация к книге — Кодекс долголетия. Что заставляет нас стареть, зачем это нужно и как «обмануть» эволюцию: пошаговое руководство [i_015.jpg] Иллюстрация к книге — Кодекс долголетия. Что заставляет нас стареть, зачем это нужно и как «обмануть» эволюцию: пошаговое руководство [i_015.jpg]](img/book_covers/102/102380/i_015.jpg)
![Иллюстрация к книге — Кодекс долголетия. Что заставляет нас стареть, зачем это нужно и как «обмануть» эволюцию: пошаговое руководство [i_016.jpg] Иллюстрация к книге — Кодекс долголетия. Что заставляет нас стареть, зачем это нужно и как «обмануть» эволюцию: пошаговое руководство [i_016.jpg]](img/book_covers/102/102380/i_016.jpg)
![Иллюстрация к книге — Кодекс долголетия. Что заставляет нас стареть, зачем это нужно и как «обмануть» эволюцию: пошаговое руководство [i_017.jpg] Иллюстрация к книге — Кодекс долголетия. Что заставляет нас стареть, зачем это нужно и как «обмануть» эволюцию: пошаговое руководство [i_017.jpg]](img/book_covers/102/102380/i_017.jpg)
![Иллюстрация к книге — Кодекс долголетия. Что заставляет нас стареть, зачем это нужно и как «обмануть» эволюцию: пошаговое руководство [i_018.jpg] Иллюстрация к книге — Кодекс долголетия. Что заставляет нас стареть, зачем это нужно и как «обмануть» эволюцию: пошаговое руководство [i_018.jpg]](img/book_covers/102/102380/i_018.jpg)