Книга Яды: вокруг и внутри. Путеводитель по самым опасным веществам на планете, страница 7 – Сакина Зейналова

Авторы: А Б В Г Д Е Ж З И Й К Л М Н О П Р С Т У Ф Х Ч Ш Ы Э Ю Я
Книги: А Б В Г Д Е Ж З И Й К Л М Н О П Р С Т У Ф Х Ц Ч Ш Щ Ы Э Ю Я
Бесплатная онлайн библиотека LoveRead.in

Онлайн книга «Яды: вокруг и внутри. Путеводитель по самым опасным веществам на планете»

📃 Cтраница 7

ФОРМУЛА

Иллюстрация к книге — Яды: вокруг и внутри. Путеводитель по самым опасным веществам на планете [i_012.jpg]

ТОКСИЧНОЕ ВЕЩЕСТВО: цикутоксин (это не алкалоид, а двухатомный спирт).

АРЕАЛ: Восточная Европа, север Западной Европы, Азии и Северной Америки, вся Россия.

СМЕРТЕЛЬНАЯ ДОЗИРОВКА: 7 мг/кг при внутривенном введении и 50 мг/кг перорально для лабораторных животных.

Наперстянка

Вспомните картины Винсента Ван Гога. Возможно, оттенки в «жёлтый период» его творчества – это не плод фантазии автора. По одной из версий, его восприятие цвета могло измениться из-за приёма алкалоидов наперстянки, которые в то время использовали для лечения эпилепсии.

Латинское название наперстянки – Digitalis, от digitus – «палец». Это растение называют перчаточной травой, ведьминой перчаткой. Такие названия (как и русское «наперстянка») появились из-за внешнего сходства цветка растения с напёрстком. В немецкой фольклорной традиции считается, что цветки наперстянки служат шапочками эльфов.

Наперстянка насчитывает около 25 видов, из которых наиболее популярны три: крупноцветковая, шерстистая и пурпурная. Все части растений ядовиты.

Наиболее сильнодействующие из гликозидов наперстянки – дигитоксин, дигоксин и, реже, гитоксин.

Токсическое действие дигитоксина и дигоксина связано с нарушением сердечной функции, что приводит к блокаде сердца. Возникает увеличение частоты сердечного ритма, но при изменении дозы, наоборот, уменьшение.

Воздействие наперстянки на сердце было известно уже с V века нашей эры, и её применяли для лечения сердечных заболеваний. Но использовать её было крайне опасно: в зависимости от дозы эффекты были полностью противоположными. Да и контролировать содержание активных веществ в растении невозможно. Всё это приводило к частым случаям передозировки.

Иллюстрация к книге — Яды: вокруг и внутри. Путеводитель по самым опасным веществам на планете [i_013.jpg]

Врачи вынуждены были отказаться от повсеместного лечения настойками наперстянки.

Сердечные гликозиды наперстянки имеют свойство накапливаться в организме и оказывать хроническое токсическое действие. Тогда возникает аритмия, расстройства желудочно-кишечного тракта, размытое зрение, изменение цветовосприятия (цвета кажутся синими, жёлтыми или зелёными). При остром отравлении возникает тошнота, рвота, боли в животе, помутнение сознания, тахикардия, аритмия. Смерть наступает в результате остановки сердца.

Покровитель Данте Агильери, скорее всего, был отравлен наперстянкой. Это был правитель Вероны – Кан Гранде I делла Скала.

Наперстянку можно легко спутать с лечебным растением окопником. Заварив ее вместо окопника, человек рискует приготовить опасный для жизни напиток. Поэтому не стоит собирать окопник, если вы не уверены в том, что способны отличить его от наперстянки.

Растение можно встретить не только в лесах: её любят выращивать садоводы. Это красивое садовое растение. Однако детей и животных стоит держать от него подальше – культивируемые виды наперстянки также ядовиты и могут убить. Смертельные случаи редки, и в основном страдают дети, решившие попробовать цветы на вкус.


ФОРМУЛЫ

Иллюстрация к книге — Яды: вокруг и внутри. Путеводитель по самым опасным веществам на планете [i_014.jpg]

ТОКСИЧНЫЕ ВЕЩЕСТВА: дигитоксин и дигоксин – сердечные гликозиды наперстянки. Как видите, они очень похожи, но, если присмотреться внимательно, вы увидите отличие в одной функциональной группе – ОН.

АРЕАЛ: смешанные и лиственные леса Европы и европейской части России, Западная Азия и Северная Африка.

Аконит

Ядом аконита смазывали стрелы, дротики и копья для охоты. В Древней Греции считалось, что растение появилось из слюны пса Цербера, охраняющего царство мёртвых. В России аконит называют борцом, волчьим корнем, волкобоем. В нашей стране это одно из самых ядовитых растений. Аконит можно встретить на Урале, в Западной Сибири, на Алтае и в Средней Азии. Это красивое травянистое растение с замысловатыми цветами, напоминающими шляпку.

Несмотря на привлекательный внешний вид, все части растения содержат токсичные алкалоиды. Любой контакт с растением потенциально опасен. Алкалоидов в аконите несколько: аксинатин, мезаконитин, гипаконитин и т. д. Самый токсичный из всех – аконитин.

Аконитин был впервые выделен немецкими токсикологами Гейгером и Гессе в 1838 году. Он быстро поглощается через слизистую, кожу и желудочно-кишечный тракт. Блокирует ионные каналы клеточных мембран в открытом положении, нарушая электрическую активность нервов и мышц. В результате этого наступает паралич сердца и дыхательной мускулатуры.

При попадании на кожу аконитин вызывает зуд, покалывания и онемение. Если аконитин попал внутрь, то сначала ощущается жжение и покалывания. Позже появляются рвота, диарея, обильное слюнотечение, боль в груди, оглушение и нарушение зрения, потеря ориентации, судороги, резкое повышение температуры, отдышка, нарушение сердечного ритма. В больших дозах аконитин вызывает остановку сердца и смерть. В случаях тяжёлого отравления без медицинской помощи человек погибает за три-четыре часа.

Аконит применяется в народной китайской медицине, несмотря на потенциальную опасность.

Задокументировано несколько случаев убийств с применением аконита. Плутарх описывал случай отправления аконитом воинов Марка Антония. Врач и убийца Джордж Генри Ламсон отравил свою жертву аконитом, о котором узнал из медицинских курсов врачей. Советский биохимик Григорий Майрановский в 40-е годы XX века проводил эксперименты по воздействию ядов на людей. В качестве подопытных он брал заключённых, приговорённых к смерти. Испытывал он в том числе и аконитин. Позже этого биохимика прозвали «доктор смерть».


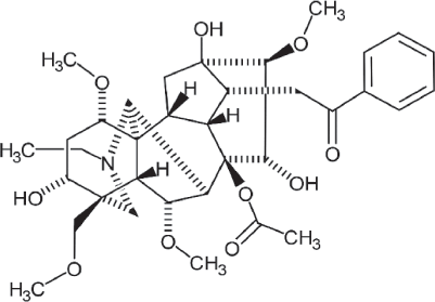
ФОРМУЛА

Иллюстрация к книге — Яды: вокруг и внутри. Путеводитель по самым опасным веществам на планете [i_015.jpg]

ТОКСИЧНОЕ ВЕЩЕСТВО: аконитин.

АРЕАЛ: влажные берега рек Европы, Азии и Северной Америки.

СМЕРТЕЛЬНАЯ ДОЗИРОВКА: 0,7 мг/кг перорально, столько может содержаться в 1,5–2 г аконита.

Чемерица Лобеля

Если ввести в поисковик запрос «чемерица», первые ссылки, что вам попадутся, ведут на сайты по продаже средств народной медицины. Порошок корня чемерицы используют для лечения алкоголизма. С учётом того, что содержащиеся там алкалоиды могут убить человека, способ весьма экстремальный и не очень гуманный.

Вход
Поиск по сайту
Ищем:
Календарь