Книга Секрет аромата. От молекулы до духов. Как запах становится произведением искусства, страница 12 – Лука Турин

Авторы: А Б В Г Д Е Ж З И Й К Л М Н О П Р С Т У Ф Х Ч Ш Ы Э Ю Я
Книги: А Б В Г Д Е Ж З И Й К Л М Н О П Р С Т У Ф Х Ц Ч Ш Щ Ы Э Ю Я
Бесплатная онлайн библиотека LoveRead.in

Онлайн книга «Секрет аромата. От молекулы до духов. Как запах становится произведением искусства»

📃 Cтраница 12

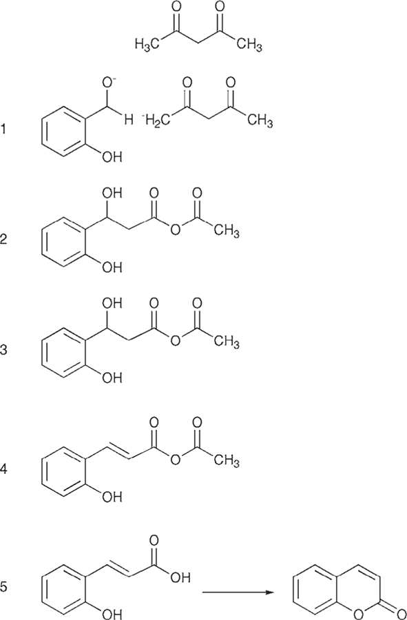
В 250-миллиметровую круглодонную колбу помещают 2,1 г салицилальдегида, 2 мл сухого триэтиламина и 5 мл уксусного ангидрида и аккуратно нагревают смесь в течение 12 часов. С помощью пара дистиллируют смесь из реактивной колбы и удаляют дистиллят. Оставшуюся в колбе кислоту нейтрализуют твёрдым бикарбонатом натрия, используя лакмус в качестве индикатора, затем охлаждают, отфильтровывают осажденный неочищенный кумарин и промывают небольшим количеством холодной воды.

Если вы, как и я, не химик, то в первую очередь наверняка обратили внимание, что выглядит это несколько проще, чем, скажем, приготовление говядины «Веллингтон». Все, что вам требуется – немного стеклянной посуды и три компонента – «строительных блока», которые Перкину пришлось изготавливать самому, но сегодня их можно купить за несколько евро. Честно говоря, даже во времена Перкина никто не начинал с компонентов размером в один атом углерода. Но откуда берутся все эти компоненты? Если проследить источник до самого начала, окажется, что они берутся из нефти, т. е. из древнейших форм жизни [15], которые кропотливо собирали их из отдельных атомов, или из современных форм жизни, например, из древесины. Кроме того, вы обратите внимание, что эти строительные блоки имеют старомодные названия: салицилальдегид (от salix – ива, из которой его изначально экстрагировали), уксусный альдегид – от уксуса, лакмус. На самом деле, весь процесс приятно эмпирический («аккуратно», «немного воды», «лакмус в качестве индикатора»). Химия, действительно, до сих пор – искусство.

Механизм этой реакции хорошо известен. Чтобы вы получили беглое представление о том, как работает синтетическая органическая химия, посмотрите на объяснение, которое я привожу ниже. Если для вас все понятно, ваше будущее обеспечено.

Искусство синтетической органической химии своеобразно: те, кто этим занимается, напоминают охотников, которым нужно понять логику поведения своей добычи.

Иллюстрация к книге — Секрет аромата. От молекулы до духов. Как запах становится произведением искусства [i_008.jpg]

Знакомясь с миллионами ситуаций, т. е. с отдельными химическими реакциями, они приобретают интуитивное понимание поведения молекул. Существует много строгих правил, но в принципе химия непредсказуема. Помнится, однажды мне попалась книга под названием «Удивительные химические реакции». Там на нескольких сотнях страниц просто показывались реагенты и продукты для реакций, которые приводят к неожиданным результатам. Самое примечательное в ней было отсутствие текста, за исключением ссылок на оригинальные научные публикации. Для фанатов этого дела ничего другого и не требуется.

Изящество научной синтетической химии заключается в создании сложных молекул с нуля. Изящество промышленной химии – в создании молекул дешево и эффективно, с минимумом ступеней реакции.

Иллюстрация к книге — Секрет аромата. От молекулы до духов. Как запах становится произведением искусства [i_009.jpg]

Дело в том, что реагенты, которые вы используете для получения нужного вещества, никогда не дают 100 % «выход». Большинство реакций дают около 70 % полезного продукта. Остальные 30 % могут быть чем угодно – не вступившими в реакцию фрагментами, нежелательными продуктами, любыми отходами, которые стоят денег. Если вам нужно десять ступеней реакции, на выходе вы можете получить лишь несколько процентов полезного продукта. Он, разумеется, получится весьма дорогим, и нужно, прежде чем открывать производство, быть заранее уверенным, что люди захотят покупать этот продукт. По шкале сложности химических реакций от единицы до десяти – где 1 означает «легко», а 10 – «кошмар», производство кумарина оценивается в 2 балла. Производство некоторых из недавно полученных молекул сандалового дерева, типа причудливой и потрясающей Javanol® компании Givaudan, с ее двумя трехчленными кольцами и невероятно богатым ароматом, оценивается в 8 баллов и очень дорого. К счастью, Javanol® обладает прекрасным и очень ярким запахом, поэтому его можно продавать за большие деньги.

Проблема терминологии

Несколько лет назад меня пригласили в Кембридж прочитать лекцию для математиков. Беседовать с математиками всегда удовольствие, а поскольку у них много свободного времени (нельзя же весь день думать о математике), они, как правило, проявляют острый интерес к другим областям науки и обладают здоровой бдительностью людей, проводящих всю жизнь под ярким солнцем истины. Это полезно и потому, что, если не интересоваться постоянно, вы понятия не будете иметь, что происходит в мире математики. Стоит отключиться на пару лет – и вернувшись, вы с удивлением обнаружите, что некоторые вопросы, которые казались нерешаемыми, уже давно решены. Более того, о них можно получить полное представление, загрузив соответствующую программу из интернета (разумеется, бесплатно): вейвлет-преобразование, нейронная сеть, алгоритм фрактального сжатия, нелинейные волны – всё по вашим запросам.

Меня пригласил Дэвид Маккей из Кавендишской лаборатории. Мы беседовали о запахах и молекулах запаха. Я рассказал ему, что в разговорах с химиками у меня возникал вопрос, что получается, когда возникают «молекулярные опечатки».

Предположим, что запах «записан» в молекуле определенной нотацией. Что получится, если, изменяя какую-то часть молекулы, сделаешь «опечатку» в оригинальном слове? В лексике, разумеется, могут получиться другие слова, сходные или совсем с другим значением, например, «тень», «сень» или «пень». Но количество слов не бесконечно. А как с запахами? Одному известному химику запахов по имени Чарльз Селл из компании Quest International я задал конкретный вопрос: когда вы создаете несколько дюжин молекул в поисках, скажем, мускуса, что вы получаете, когда вы не получаете мускус (это бывает весьма часто). Он ответил без колебаний: «дерево или амбру».

Ответ заставил меня задуматься. Он предполагает, что дерево и амбра каким-то образом «близки» мускусу. Поскольку роза или кокос не получаются никогда, это означает, что они от него далеки. Но когда создаешь молекулы розы, иногда получаются молекулы дерева, иногда – лимона. А это означает, что дерево связано с розой и мускусом, но у розы и мускуса нет общей границы. Играть с молекулярными опечатками – все равно что тыкать вслепую в географическую карту, зная лишь приблизительное направление. Говоря языком артиллеристов, когда целишься в конкретный запах, вероятное отклонение допускает, что ты попадешь в соседний район, но не в соседнюю страну. Я пересказал это Маккею, и он, в типичной для математика манере, заметил: «Ты можешь сопоставить это с самоорганизующейся картой Кохонена». Затем терпеливо объяснил, как это работает. Предположим, у вас есть тысяча молекул, каждая из которых обладает запахом, который можно описать, допустим, четырьмя словами с убывающей степенью соответствия: например, древесный, розовый, мыльный, сладкий. Алгоритм Кохонена подскажет, какие комбинации слов чаще всего встречаются рядом [16], выстроит их соответственно, чтобы сгладить все морщинки, и развернет соответствующую карту, которая, в принципе, и окажется картой запахов.

Вход
Поиск по сайту
Ищем:
Календарь